

- 銷售熱(rè)線
0533-4655557
- 圖片傳真
0533-4667678
- 技(jì)術支持
15552667788
- 電子郵(yóu)箱

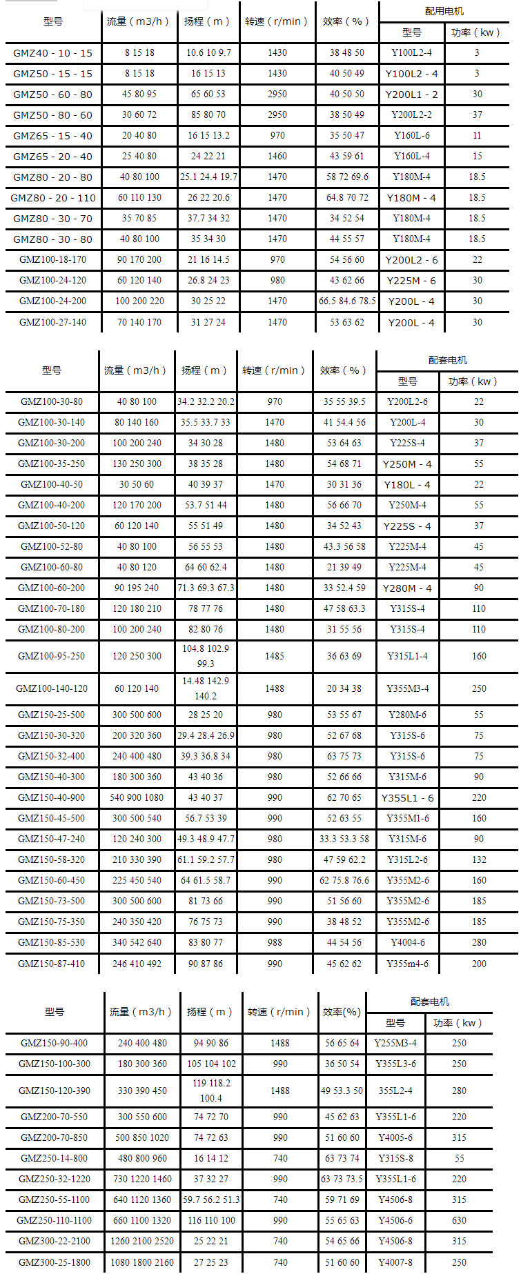
GMZ系列.耐磨(mo)煙氣脫硫泵是(shi)單級單吸、軸向(xiang)吸入懸臂卧式(shì)離心泵,可廣泛(fan)用于冶金、礦山(shan)、電力、煤礦、水利(li)、化工、輕工、石油(you)等部門輸送含(hán)有大量固體物(wu)料的磨蝕性或(huò)腐蝕性漿體。
性能(néng)參數:



0533-4655557
0533-4667678
15552667788
·
›
·


